백준 13305 주유소 _ 실버3_ 그리디
2023. 3. 17. 11:50ㆍBOJ
728x90
https://www.acmicpc.net/problem/13305
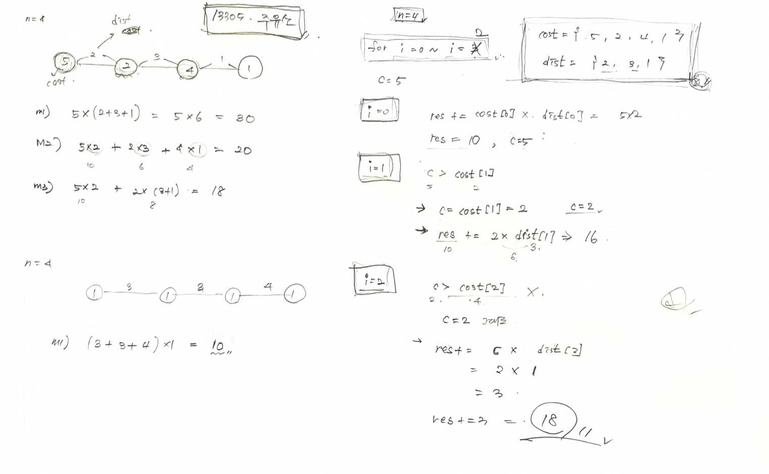
13305번: 주유소
표준 입력으로 다음 정보가 주어진다. 첫 번째 줄에는 도시의 개수를 나타내는 정수 N(2 ≤ N ≤ 100,000)이 주어진다. 다음 줄에는 인접한 두 도시를 연결하는 도로의 길이가 제일 왼쪽 도로부터 N-1
www.acmicpc.net
#include <stdio.h>
int main(void){
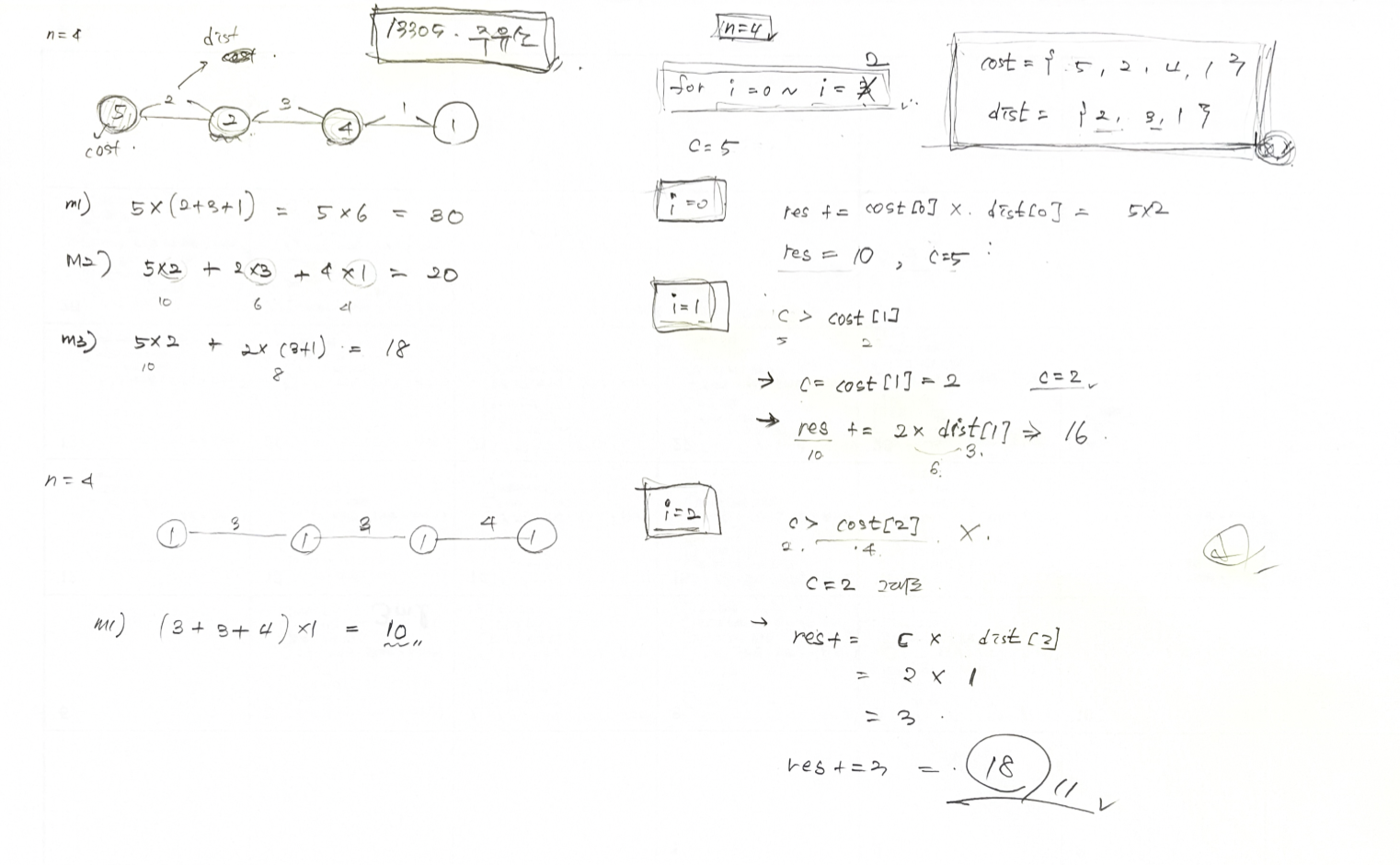
int n, i;
int dist[100000];
int cost[100000];
long long min_cost=0; //최소비용
scanf("%d", &n);
for(i=0;i<n-1;i++){
scanf("%d", &dist[i]);
}
for(i=0;i<n;i++){
scanf("%d", &cost[i]);
}
int c = cost[0];
for(i=0;i<n-1;i++){
if(c>cost[i]){
c = cost[i]; //적은비용으로 갱신
}
min_cost += (long long) c*dist[i];
}
printf("%lld", min_cost);
}
문제분석 & 코드분석



요즘 쪼끔 재밌다ㅏ
사실 sqld 시험 이틀 전이라서 그렇다
sqld는 어쩌지? ㅎㅎ
'BOJ' 카테고리의 다른 글
| 0415 백준 3문제 (0) | 2023.04.10 |
|---|---|
| 백준 1927 최소 힙 (python) 🥈 실버2 (0) | 2023.03.20 |
| 백준 5585 거스름돈 (python) (0) | 2023.02.26 |
| 백준 c언어문제 (0) | 2023.02.21 |
| 스키마에듀 0218 수업준비_별찍기특집 (0) | 2023.02.16 |